TOKİ 500 Bin Sosyal Konut Projesi: Tillo İçin Kura Sonuçları Açıklandı
Toplu Konut İdaresi Başkanlığı tarafından yürütülen 500 bin sosyal konut projesi kapsamında Tillo ilçesi için yapılan kura çekimi sonuçlandı.
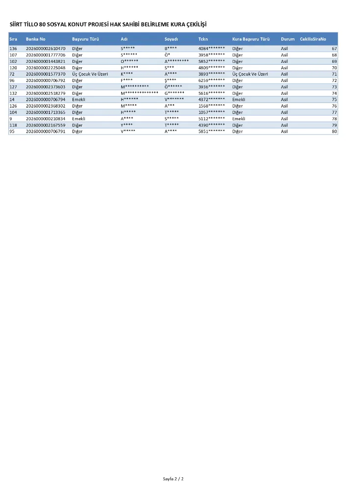
Toplu Konut İdaresi Başkanlığı tarafından yürütülen 500 bin sosyal konut projesi kapsamında Tillo ilçesi için yapılan kura çekimi sonuçlandı. Gerçekleştirilen kura ile birlikte Tillo’da sosyal konut almaya hak kazanan asil ve yedek hak sahipleri belirlendi.
5 Ocak 2026 tarihinde yapılan kura çekiminin ardından, Tillolu vatandaşların uzun süredir merakla beklediği isimler netlik kazandı. Başvuru şartlarını taşıyan adaylar arasından yapılan kura sonucunda belirlenen hak sahiplerinin isimleri, ilgili listede paylaşıldı.
Yetkililer, kura sonuçlarına ilişkin tüm resmi işlemlerin TOKİ tarafından yürütüleceğini hatırlatarak, hak sahiplerinin sözleşme imzalama süreci, ödeme planı ve konut teslim tarihleri ile ilgili duyuruları yalnızca TOKİ’nin resmi kanalları üzerinden takip etmeleri gerektiğini vurguladı.
Tillo’da hayata geçirilecek sosyal konut projesinin, ilçedeki konut ihtiyacına önemli katkı sunması beklenirken, kura sonuçlarının açıklanmasıyla birlikte süreçte yeni bir aşamaya geçilmiş oldu.




