• BIST 100

    14200,54%-0,68
  • DOLAR

    42,70% 0,05
  • EURO

    50,11% -0,16
  • GRAM ALTIN

    5952,26% 0,73
  • Ç. ALTIN

    9522,21% 0,00

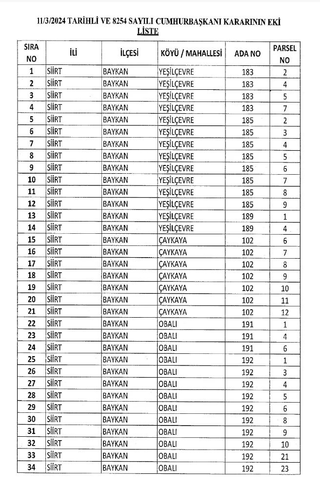
Cumhurbaşkanı Erdoğan Onayladı! Siirt’te 133 Parsel kamulaştırılacak

Siirt’te yapılacak enerji yatırımları için bazı taşınmazların kamulaştırılmasına karar verildi.

Siirt 12.03.2024 11:37:00 0
Cumhurbaşkanı Erdoğan Onayladı! Siirt’te 133 Parsel kamulaştırılacak

Baykan Enerji Grubu tarafından yapılan Siirt'teki hidroelektrik santral için Baykan ilçesindeki 133 parselde acele kamulaştırma yapılacak.

Resmi gazetede Cumhurbaşkanı Recep Tayip Erdoğan’ın imzasıyla geçen kararda şu ifadelere yer verildi:

“Baykan Enerji Grubu HES elektrik üretim tesisinin yapımı amacıyla Siirt ilinde bulunan ve ekli listede bulundukları yer ile ada ve parsel numaraları belirtilen taşınmazların, tapuda Hazine adına tescil edilmek üzere Enerji Piyasası Düzenleme Kurumu tarafından acele kamulaştırılmasına, 2942 sayılı Kamulaştırma Kanununun 27 nci maddesi gereğince karar verilmiştir.”

https://www.resmigazete.gov.tr/eskiler/2024/03/20240312-16.pdf

 

 

Haber Editörü

Akif ÖZALP

Yorum Yazın

Çarşamba 10.6 ° / 3.3 °
Perşembe 10.4 ° / 1.5 °
Cuma 11.2 ° / 1.4 °

Veri politikasındaki amaçlarla sınırlı ve mevzuata uygun şekilde çerez konumlandırmaktayız. Detaylar için veri politikamızı inceleyebilirsiniz.